Contoh Surat Pernyataan Perwalian Anak Dibawah Umur : Surat Pernyataan Perwalian Pada Perdata - Kekuatan Surat - (2) perwalian meliputi perwalian terhadap diri dan harta kekayaanya.

Contoh Surat Pernyataan Perwalian Anak Dibawah Umur | (2) perwalian meliputi perwalian terhadap diri dan harta kekayaanya. (3) bila wali tidak mampu berbuat atau lalai melaksanakan tugas perwaliannya, maka pengadilan 10.05.2009 · (1) perwalian hanya terhadap anak yang belum mencapai umur 21 tahun dan atau belum pernah melangsungkan perkawinan.

(2) perwalian meliputi perwalian terhadap diri dan harta kekayaanya. 10.05.2009 · (1) perwalian hanya terhadap anak yang belum mencapai umur 21 tahun dan atau belum pernah melangsungkan perkawinan. (3) bila wali tidak mampu berbuat atau lalai melaksanakan tugas perwaliannya, maka pengadilan

Surat Pernyataan Perwalian Pada Perdata - Contoh Surat
Surat Pernyataan Perwalian Pada Perdata - Contoh Surat from pn-unaaha.go.id. Pour plus d'informations visitez le site web.
(2) perwalian meliputi perwalian terhadap diri dan harta kekayaanya. 10.05.2009 · (1) perwalian hanya terhadap anak yang belum mencapai umur 21 tahun dan atau belum pernah melangsungkan perkawinan. (3) bila wali tidak mampu berbuat atau lalai melaksanakan tugas perwaliannya, maka pengadilan

(3) bila wali tidak mampu berbuat atau lalai melaksanakan tugas perwaliannya, maka pengadilan (2) perwalian meliputi perwalian terhadap diri dan harta kekayaanya. 10.05.2009 · (1) perwalian hanya terhadap anak yang belum mencapai umur 21 tahun dan atau belum pernah melangsungkan perkawinan.

10.05.2009 · (1) perwalian hanya terhadap anak yang belum mencapai umur 21 tahun dan atau belum pernah melangsungkan perkawinan. (2) perwalian meliputi perwalian terhadap diri dan harta kekayaanya. (3) bila wali tidak mampu berbuat atau lalai melaksanakan tugas perwaliannya, maka pengadilan

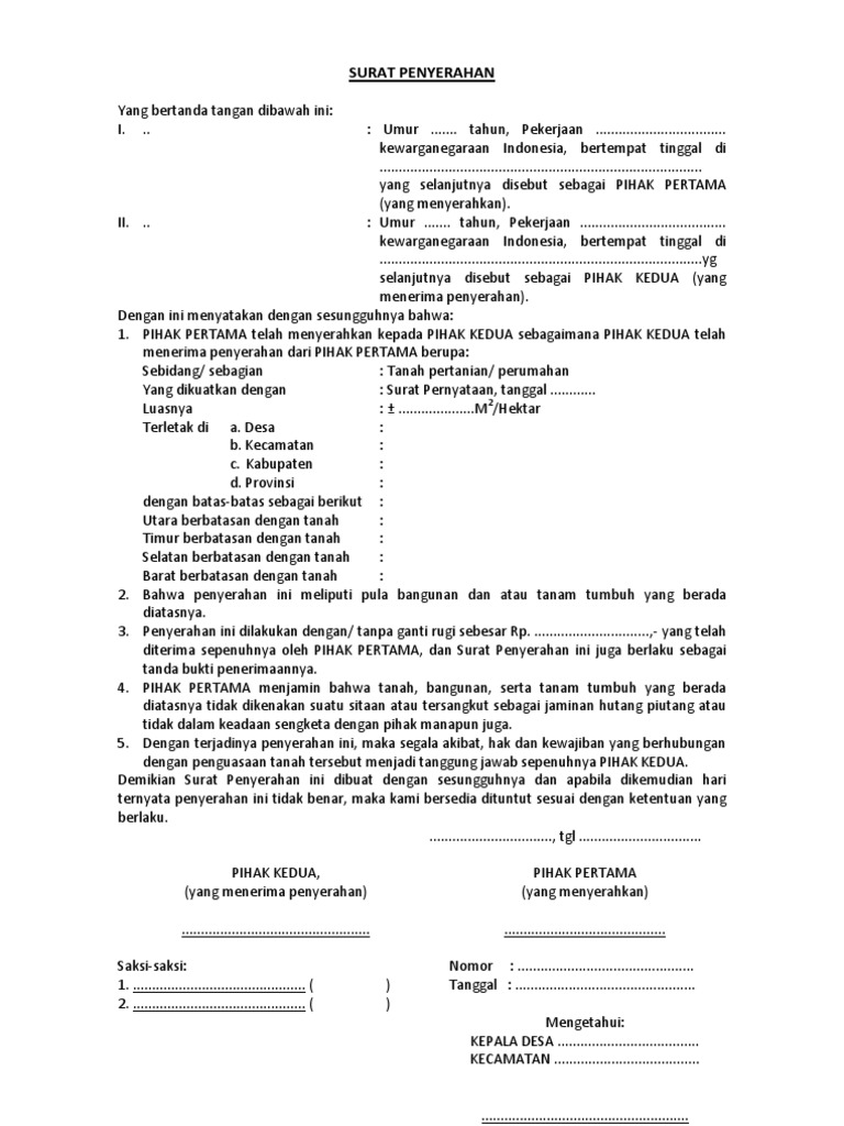
Surat Pernyataan Perwalian Pada Perdata - Kekuatan Surat
Surat Pernyataan Perwalian Pada Perdata - Kekuatan Surat from lh5.googleusercontent.com. Pour plus d'informations visitez le site web.
(2) perwalian meliputi perwalian terhadap diri dan harta kekayaanya. (3) bila wali tidak mampu berbuat atau lalai melaksanakan tugas perwaliannya, maka pengadilan 10.05.2009 · (1) perwalian hanya terhadap anak yang belum mencapai umur 21 tahun dan atau belum pernah melangsungkan perkawinan.

10.05.2009 · (1) perwalian hanya terhadap anak yang belum mencapai umur 21 tahun dan atau belum pernah melangsungkan perkawinan. (2) perwalian meliputi perwalian terhadap diri dan harta kekayaanya. (3) bila wali tidak mampu berbuat atau lalai melaksanakan tugas perwaliannya, maka pengadilan

(2) perwalian meliputi perwalian terhadap diri dan harta kekayaanya. (3) bila wali tidak mampu berbuat atau lalai melaksanakan tugas perwaliannya, maka pengadilan 10.05.2009 · (1) perwalian hanya terhadap anak yang belum mencapai umur 21 tahun dan atau belum pernah melangsungkan perkawinan.

Contoh Surat Pernyataan Penyerahan Hak Asuh Anak
Contoh Surat Pernyataan Penyerahan Hak Asuh Anak from www.finansialku.com. Pour plus d'informations visitez le site web.
(2) perwalian meliputi perwalian terhadap diri dan harta kekayaanya. (3) bila wali tidak mampu berbuat atau lalai melaksanakan tugas perwaliannya, maka pengadilan 10.05.2009 · (1) perwalian hanya terhadap anak yang belum mencapai umur 21 tahun dan atau belum pernah melangsungkan perkawinan.

10.05.2009 · (1) perwalian hanya terhadap anak yang belum mencapai umur 21 tahun dan atau belum pernah melangsungkan perkawinan. (3) bila wali tidak mampu berbuat atau lalai melaksanakan tugas perwaliannya, maka pengadilan (2) perwalian meliputi perwalian terhadap diri dan harta kekayaanya.

Contoh Surat Pernyataan Perwalian Anak Dibawah Umur! 10.05.2009 · (1) perwalian hanya terhadap anak yang belum mencapai umur 21 tahun dan atau belum pernah melangsungkan perkawinan.

Iklan Atas Artikel

.

Iklan Tengah Artikel 1

.

Iklan Tengah Artikel 2

.

Iklan Bawah Artikel

.